计算流数据的移动平均值
最近我需要对一系列输入数据进行一些统计计算(平均值和标准差)。我做了一些研究,这篇文章就是研究成果。我将文章分成几个部分。第一部分介绍如何逐步计算平均值。第二部分将介绍如何逐步计算标准差。第三部分将介绍指数移动平均法,也称为低通滤波器。
人们通常所说的“平均值”,在统计学中更专业的说法是“算术平均值”。在本文中,“平均值”和“均值”这两个术语可以互换使用。
我们通常在学校里学到的计算一组数据平均值的方法是,将所有数值(总数)相加,然后除以数值的数量(计数):
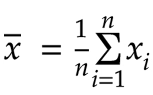
以下是描述我上面所写内容的数学符号:
下面这个简单的 JavaScript 函数使用了这种简单的方法来计算平均值:
const simpleMean = values => {
validate(values)
const sum = values.reduce((a,b)=>a+b, 0)
const mean = sum/values.length
return mean
}
const validate = values => {
if (!values || values.length == 0) {
throw new Error('Mean is undefined')
}
}
这种逻辑本身没有问题,但在实践中却存在一些局限性:
- 我们累积的金额可能很大,这在使用浮点类型时可能会导致精度和溢出问题。
- 我们需要先获得所有数据才能进行计算。
这两个问题都可以用增量式方法解决,即根据每个新值调整平均值。我先用一些数学知识推导出这个公式,然后再展示一个 JavaScript 实现。
数学中常用两个符号来表示平均值。
σ小写希腊字母 σ 指的是总体均值,即所有可能值的平均值。例如,某次考试所有成绩的平均值就是一个总体均值。
x̄样本均值(读作 x-bar)是指样本平均值。它是从总体中抽取的样本值的平均值。例如,你可以随机抽取全国一部分人来计算平均身高,但测量全国每个人的身高是不切实际的。当然,在使用样本时,我们希望样本均值尽可能接近其所代表的总体均值。我决定在本文中使用样本符号,以表明我们计算的平均值可能基于样本。
好的,我们先从之前看到的平均值公式开始:
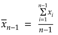
让我们把总和分成两部分,先把前 n-1 个值加起来,然后再把最后一个值 x n加起来。
我们知道平均值 = 总数 / 计数:
我们稍微调整一下顺序:
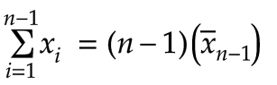
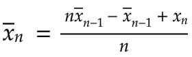
以下是对前 n-1 个值的总和应用上述替换后的结果:
让我们进一步展开讨论:
稍作调整,我们得到:
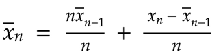
我们可以约掉n第一个分数中的单引号,得到最终结果:
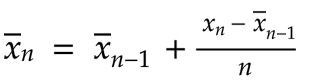
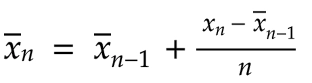
这一切究竟意味着什么?我们现在有了一个递推关系,它定义了第 n 个值的平均值,如下所示:将前 n-1 个值的平均值加上一个差值。每次添加新值时,我们只需计算这个差值并将其加到前一个平均值上。这样就得到了新的平均值。
以下是这一想法的简单实现:
class MovingAverageCalculator {
constructor() {
this.count = 0
this._mean = 0
}
update(newValue) {
this.count++
const differential = (newValue - this._mean) / this.count
const newMean = this._mean + differential
this._mean = newMean
}
get mean() {
this.validate()
return this._mean
}
validate() {
if (this.count == 0) {
throw new Error('Mean is undefined')
}
}
}
在上面的代码中,每次我们update用新值调用函数时,计数都会加一,并计算差值。newMean是之前平均值加上这个差值。这就会成为下次调用函数时要使用的平均值update。
以下是对这两种方法的简单比较:
console.log('simple mean = ' + simpleMean([1,2,3]))
const calc = new MovingAverageCalculator()
calc.update(1)
calc.update(2)
calc.update(3)
console.log('moving average mean = ' + calc.mean)
结果符合预期:
C:\dev\>node RunningMean.js
simple mean = 2
moving average mean = 2
当然还有许多其他类型的移动平均线,但如果您只是想要一个累积移动平均线,那么这种逻辑效果很好:它很简单,您可以将其应用于流式数据集,并且它避免了朴素方法可能出现的精度和溢出问题。
在结束之前,我想利用我们上次的结果推导出另一个恒等式。我们现在用不到它,但我们会在下一篇文章中用到它。
我们先从均值的递推关系式开始:
让我们从等式两边减去右边的第一项,这样就能得到微分的值:
现在我们乘以 n:
让我们将等式两边同时乘以-1:
最后,让我们将等式两边同时乘以 -1:
我们暂时先记住这个恒等式,但它在第二部分中会很有用,在第二部分中我们将推导出逐步计算方差和标准差的公式。
有关的:
文章来源:https://dev.to/nestedsoftware/calculated-a-moving-average-on-streaming-data-5a7k














